-
Methods Employed in Studies Identifying “Levels” of Test Anxiety in University Students: A Systematic Review -
Choosing One’s Words: Conversational Indirectness and Humor Style in Two Distinct Cultural Groups -
Why Does Intimate Partner Violence Cause Sexual Risk Taking? The Emergence of Avoidant Tendencies
Journal Description
Behavioral Sciences
Behavioral Sciences
is an international, peer-reviewed, open access journal on psychology, neuroscience, cognitive science, behavioral biology and behavioral genetics published monthly online by MDPI.
- Open Access— free for readers, with article processing charges (APC) paid by authors or their institutions.
- High Visibility: indexed within Scopus, SSCI (Web of Science), PubMed, PMC, PsycInfo, and other databases.
- Journal Rank: JCR - Q2 (Psychology, Multidisciplinary) / CiteScore - Q2 (Development)
- Rapid Publication: manuscripts are peer-reviewed and a first decision is provided to authors approximately 28.7 days after submission; acceptance to publication is undertaken in 2.8 days (median values for papers published in this journal in the second half of 2024).
- Recognition of Reviewers: reviewers who provide timely, thorough peer-review reports receive vouchers entitling them to a discount on the APC of their next publication in any MDPI journal, in appreciation of the work done.
- Companion journal: International Journal of Cognitive Sciences
Impact Factor:
2.5 (2023);
5-Year Impact Factor:
2.7 (2023)
Latest Articles
Dropout in Online Education: A Longitudinal Multilevel Analysis of Elementary Students’ Extracurricular English Course Engagement in China
Behav. Sci. 2025, 15(4), 483; https://doi.org/10.3390/bs15040483 (registering DOI) - 7 Apr 2025
Abstract
►
Show Figures
While high dropout rates hinder the success of online education, little is known about the patterns of dropout beyond adult education, particularly regarding time-related variables. This study aims to address this gap by analyzing data from 219 online extracurricular English courses, involving approximately
[...] Read more.
While high dropout rates hinder the success of online education, little is known about the patterns of dropout beyond adult education, particularly regarding time-related variables. This study aims to address this gap by analyzing data from 219 online extracurricular English courses, involving approximately 300,000 Chinese elementary students. We employed a multilevel modeling technique and found that the dropout rate increased throughout the semester and peaked at chapter transitions. Furthermore, we also found that the dropout rate varied with grades and semesters. Younger students and those in the second semester were more likely to drop out from online education and exhibited a higher dropout rate during chapter transitions. These findings highlight the temporal dynamics of dropout in elementary online education in China and the variations across grade and semester, providing valuable implications for educators in designing more effective online learning environments. Future studies should further explore the generalizability of these patterns in other educational and cultural contexts.
Full article
Open AccessArticle
Comparing Frequentist and Bayesian Methods for Factorial Invariance with Latent Distribution Heterogeneity
by
Xinya Liang, Ji Li, Mauricio Garnier-Villarreal and Jihong Zhang
Behav. Sci. 2025, 15(4), 482; https://doi.org/10.3390/bs15040482 (registering DOI) - 7 Apr 2025
Abstract
Factorial invariance is critical for ensuring consistent relationships between measured variables and latent constructs across groups or time, enabling valid comparisons in social science research. Detecting factorial invariance becomes challenging when varying degrees of heterogeneity are present in the distribution of latent factors.
[...] Read more.
Factorial invariance is critical for ensuring consistent relationships between measured variables and latent constructs across groups or time, enabling valid comparisons in social science research. Detecting factorial invariance becomes challenging when varying degrees of heterogeneity are present in the distribution of latent factors. This simulation study examined how changes in latent means and variances between groups influence the detection of noninvariance, comparing Bayesian and maximum likelihood fit measures. The design factors included sample size, noninvariance levels, and latent factor distributions. Results indicated that differences in factor variance have a stronger impact on measurement invariance than differences in factor means, with heterogeneity in latent variances more strongly affecting scalar invariance testing than metric invariance testing. Among model selection methods, goodness-of-fit indices generally exhibited lower power compared to likelihood ratio tests (LRTs), information criteria (ICs; except BIC), and leave-one-out cross-validation (LOO), which achieved a good balance between false and true positive rates.
Full article
(This article belongs to the Special Issue Exploring New Frontiers in Psychometrics: Advancing Measurement of Skills and Behaviors)
►▼
Show Figures

Figure 1
Open AccessArticle
Online Captive: The Impact of Social Media Addiction on Depression and Anxiety—An SEM Approach to the Mediating Role of Self-Esteem and the Moderating Effects of Age and Professional Status
by
Daniela-Elena Lițan
Behav. Sci. 2025, 15(4), 481; https://doi.org/10.3390/bs15040481 (registering DOI) - 7 Apr 2025
Abstract
►▼
Show Figures
In the “era” in which social networks have become an integral part of everyday life, this study aims to analyze the impact of social network addiction on mental health, with a focus on the manifestation of anxiety and depression symptoms. The relationship analyzed
[...] Read more.
In the “era” in which social networks have become an integral part of everyday life, this study aims to analyze the impact of social network addiction on mental health, with a focus on the manifestation of anxiety and depression symptoms. The relationship analyzed on a batch of a Romanian adult population, explained by self-esteem and influenced by factors such as age and professional status, highlights the fact that all age categories and professional status can be affected by addiction to the online environment but with different degrees of intensity. The analyses carried out using Structural Equation Modeling (SEM) suggest that young people and professionally inactive people are the categories with the highest degree of self-esteem impairment and with a high potential to manifest symptoms associated with depression and anxiety disorders, as a result of the intense use of social networks. The current study makes a significant contribution to the specialized literature, given the small volume of similar studies conducted on the adult population of Romania.
Full article

Figure 1
Open AccessArticle
The Longitudinal Relationship Between Close Friendship and Subjective Well-Being: The Chain Mediation Model of Interpersonal Trust and Perceived Social Support
by
Runqing Li, Wenhu Xu, Hongyu Nie and Weida Zhang
Behav. Sci. 2025, 15(4), 480; https://doi.org/10.3390/bs15040480 (registering DOI) - 7 Apr 2025
Abstract
Adolescence is a critical period for developing interpersonal relationships and plays a significant role in the growth of subjective well-being. Establishing positive friendships is one of the most important predictors of subjective well-being. This study employs a longitudinal method, tracking Chinese adolescents to
[...] Read more.
Adolescence is a critical period for developing interpersonal relationships and plays a significant role in the growth of subjective well-being. Establishing positive friendships is one of the most important predictors of subjective well-being. This study employs a longitudinal method, tracking Chinese adolescents to investigate the impact of individuals’ number of close friends on subjective well-being by examining the chain mediating roles of interpersonal trust and perceived social support. Data were collected from 987 junior high school students across five schools in Shandong Province and analysed using SPSS 27.0. The results indicate that the number of close friends at Time 1 (T1) significantly positively affects the level of subjective well-being at Time 3 (T3). At Time 2 (T2), perceived social support mediates the relationship between the number of close friends at T1 and subjective well-being at T3. Furthermore, the number of close friends at T1 has a longitudinal mediating effect on subjective well-being at T3. This effect is mediated by interpersonal trust and perceived social support at T2. This study reveals the mechanisms by which the number of close friends influences subjective well-being among Chinese adolescents. The findings highlight the significance of fostering healthy interpersonal relationships among adolescents in China. This can be achieved by promoting initiatives that enhance levels of interpersonal trust and perceived social support within communities, thereby improving overall subjective well-being among adolescents
Full article
(This article belongs to the Special Issue Protective Factors and Mechanisms of Mental Health in Children and Adolescents)
►▼
Show Figures

Figure 1
Open AccessArticle
Fear of Progression and Recurrence in People with Heart Disease: Risk Factors and Implications for Emotional Support
by
Sarah T. Clarke, Barbara M. Murphy, Robert Hester and Alun C. Jackson
Behav. Sci. 2025, 15(4), 479; https://doi.org/10.3390/bs15040479 (registering DOI) - 6 Apr 2025
Abstract
Support to manage fear of recurrence and progression (FoRP) is a major concern and a commonly unmet need for people with chronic illness. The current study identified profiles of and risk factors for FoRP in people with heart disease. A sample of 241
[...] Read more.
Support to manage fear of recurrence and progression (FoRP) is a major concern and a commonly unmet need for people with chronic illness. The current study identified profiles of and risk factors for FoRP in people with heart disease. A sample of 241 participants completed 44 cardiac-specific FoRP items and provided demographic, clinical, and psychosocial information. Cluster analysis identified three profiles: a high-, moderate-, and low-FoRP group. Patients who were younger, had a comorbid health condition(s), and higher levels of uncertainty and cardiac-related distress were at the most risk of higher FoRP. By characterizing the nature and correlates of cardiac-FoRP, this study enables health professionals to understand the specific concerns of their patients and assists in identifying those at greatest risk. The findings extend the emerging field of cardiac-FoRP research and will assist in the development of a cardiac-specific screening measure and of tailored and targeted interventions to support cardiac patients in their emotional recovery.
Full article
(This article belongs to the Special Issue Providing Emotional Support for People with Chronic Diseases)
Open AccessArticle
Coping in the Face of Verbal Aggression: The Role of Self-Efficacy in Protecting Healthcare Professionals’ Well-Being and Job Satisfaction
by
Elena Cavallari, Ilaria Setti, Matteo Curcuruto and Valentina Sommovigo
Behav. Sci. 2025, 15(4), 478; https://doi.org/10.3390/bs15040478 (registering DOI) - 6 Apr 2025
Abstract
Verbal aggression toward healthcare professionals, primarily from patients and visitors, is widespread and negatively affects employee well-being and patient care quality. This study, comprising two samples, investigates the relationship between user-initiated verbal aggression and job satisfaction, with a focus on psychological processes (i.e.,
[...] Read more.
Verbal aggression toward healthcare professionals, primarily from patients and visitors, is widespread and negatively affects employee well-being and patient care quality. This study, comprising two samples, investigates the relationship between user-initiated verbal aggression and job satisfaction, with a focus on psychological processes (i.e., cynicism and mental distance) and personal boundary conditions (i.e., self-efficacy). Study 1 (pandemic period) explored cynicism and work-related self-efficacy, while Study 2 (post-pandemic) replicated and expanded these findings, incorporating mental distance, self-efficacy in managing negative emotions, and workload. Participants included 201 (Study 1) and 1442 (Study 2) healthcare professionals from one and eight Italian healthcare facilities, respectively, who completed online questionnaires. In both cross-sectional studies, verbal aggression was positively associated with psychological withdrawal responses, which, in turn, was negatively related to job satisfaction. However, high self-efficacy in managing negative emotions (rather than work-related self-efficacy) buffered these effects. In Study 2, the negative impact of verbal aggression on job satisfaction, mediated by mental distance, was most pronounced among those with low self-efficacy in managing negative emotions and a high workload. Conversely, individuals with high self-efficacy maintained their job satisfaction and did not exhibit psychological withdrawal, even under high workload conditions.
Full article
(This article belongs to the Special Issue Promoting Flourishing at Work: Innovations in Positive Work and Organizational Psychology)
►▼
Show Figures

Figure 1
Open AccessArticle
The Role of Answer Justification in Multiple-Choice Testing: Effects on Performance and Metacognitive Accuracy
by
Spenser A. Clark, Michelle L. Rivers and Acacia L. Overono
Behav. Sci. 2025, 15(4), 477; https://doi.org/10.3390/bs15040477 (registering DOI) - 6 Apr 2025
Abstract
Multiple-choice (MC) tests are widely used in educational settings but have been criticized for promoting passive recognition rather than active retrieval. Our research explores how adding a simple component to MC tests—answer justification—influences test performance and metacognitive accuracy. Across two experiments, university students
[...] Read more.
Multiple-choice (MC) tests are widely used in educational settings but have been criticized for promoting passive recognition rather than active retrieval. Our research explores how adding a simple component to MC tests—answer justification—influences test performance and metacognitive accuracy. Across two experiments, university students studied a textbook chapter and completed either a standard MC test (MC-only group) or an MC test requiring them to justify their answers (answer justification group). Participants also provided predictive and postdictive metacognitive judgments. The results showed that the answer justification group significantly outperformed the MC-only group on an immediate test (Experiments 1 and 2) and scored numerically higher on a delayed test two days later (Experiment 2). Further, some initial evidence suggested that metacognitive accuracy was influenced by test type, but future research is needed. These findings support a retrieval-based explanation: generating answer justifications increases test performance by strengthening memory through elaborative retrieval. This study demonstrates that incorporating answer justification into MC tests may improve learning and metacognitive accuracy. We also offer practical suggestions for classroom implementation, considering that answer justification boosts test performance but also imposes a time cost compared to standard MC tests.
Full article
(This article belongs to the Special Issue Educational Applications of Cognitive Psychology)
►▼
Show Figures

Figure 1
Open AccessArticle
Public Perceptions of Judges’ Use of AI Tools in Courtroom Decision-Making: An Examination of Legitimacy, Fairness, Trust, and Procedural Justice
by
Anna Fine, Emily R. Berthelot and Shawn Marsh
Behav. Sci. 2025, 15(4), 476; https://doi.org/10.3390/bs15040476 (registering DOI) - 6 Apr 2025
Abstract
This study examines the role of artificial intelligence (AI) in judicial decision-making, focusing on bail and sentencing contexts. We examined public perceptions of judges who use AI tools compared to those who rely solely on expertise. Using an experimental design, participants (N =
[...] Read more.
This study examines the role of artificial intelligence (AI) in judicial decision-making, focusing on bail and sentencing contexts. We examined public perceptions of judges who use AI tools compared to those who rely solely on expertise. Using an experimental design, participants (N = 1800; stratified by race/ethnicity and gender) were presented with vignettes depicting judges using varying levels of AI assistance. Key outcomes included perceptions of judicial legitimacy, procedural justice, and trust in AI, with analyses stratified by racial groups (Black, Hispanic, White). The results revealed that judges relying on expertise were generally rated higher in legitimacy than those using AI; however, significant racial differences emerged. Black participants showed greater trust and perceived fairness in AI-augmented decisions compared to White and Hispanic participants. Open-ended responses further highlighted social psychological themes regarding the symbolic meaning of AI in judicial processes. These findings underscore the complexity of integrating AI in the judiciary, emphasizing the need for transparent and equitable implementation strategies to maintain public trust and fairness. Future research should explore underlying factors influencing these perceptions to inform policies that address racial disparities and enhance trust in AI-assisted legal decision-making.
Full article
(This article belongs to the Special Issue Social Cognitive Processes in Legal Decision Making)
►▼
Show Figures

Figure 1
Open AccessArticle
Cortisol as a Biomarker for Stress During the Assessment and Treatment of Destructive Behavior
by
Sean W. Smith, Paul R. Johnson, William E. Sullivan, Courtney R. Mauzy IV, Beatriz E. Arroyo Antúnez, Andrew R. Craig, Alexandra R. Howard, Thanh Nguyen, Chelsea Hoffman, Samhitha Adavikolanu and Henry S. Roane
Behav. Sci. 2025, 15(4), 475; https://doi.org/10.3390/bs15040475 (registering DOI) - 6 Apr 2025
Abstract
Behavior-analytic treatments successfully reduce individuals’ destructive behavior (e.g., self-injurious behavior, aggression, property destruction, disruption); however, there is limited research evaluating these treatments’ effects on individuals’ physiological stress responses, even though stress can have significant negative impacts on quality of life. Research from other
[...] Read more.
Behavior-analytic treatments successfully reduce individuals’ destructive behavior (e.g., self-injurious behavior, aggression, property destruction, disruption); however, there is limited research evaluating these treatments’ effects on individuals’ physiological stress responses, even though stress can have significant negative impacts on quality of life. Research from other fields has demonstrated that salivary cortisol concentration is a valid biomarker for stress, so researchers could potentially use this biomarker to assess the stress of individuals with limited communication repertoires who also engage in destructive behavior. The purpose of this research was to assess changes in salivary cortisol concentrations as a biomarker for stress with two participants to evaluate whether conditions that evoke destructive behavior induce stress relative to conditions that do not evoke destructive behavior. For one participant, salivary cortisol concentrations tended to increase following exposures to stimuli that evoked destructive behavior compared to conditions that did not evoke destructive behavior. The other participant had elevated salivary cortisol concentrations across all conditions. Salivary cortisol may be a useful biomarker for evaluating physiological stress as an outcome measure during research on the assessment and treatment of destructive behavior.
Full article
(This article belongs to the Special Issue Challenging Behavior of Individuals with Autism and/or Other Neurodevelopmental Disabilities)
►▼
Show Figures

Figure 1
Open AccessArticle
The Public Service Motivation’s Impact on Turnover Intention in Korean Public Organizations: Do Perceived Organizational Politics Matter?
by
Jae-Young Lim and Kuk-Kyoung Moon
Behav. Sci. 2025, 15(4), 474; https://doi.org/10.3390/bs15040474 (registering DOI) - 6 Apr 2025
Abstract
►▼
Show Figures
Increasing turnover intention among public employees in Korean public sector organizations endangers both organizational sustainability and public service quality. Although prior research highlights job stress, compensation systems, and organizational culture as key drivers of turnover, scholars in limited empirical studies directly examine the
[...] Read more.
Increasing turnover intention among public employees in Korean public sector organizations endangers both organizational sustainability and public service quality. Although prior research highlights job stress, compensation systems, and organizational culture as key drivers of turnover, scholars in limited empirical studies directly examine the role of public service motivation. In this study, we address this gap by investigating whether public service motivation reduces turnover intention and how perceived organizational politics may moderate this relationship. Using survey data from the 2023 Korean Public Employee Viewpoints Survey—conducted by the Korea Institute of Public Administration and including responses from central and local government employees—we employ stereotype logistic regression for analysis. Results show that public service motivation significantly lowers turnover intention, but its positive effect diminishes when employees perceive high levels of organizational politics. When employees believe that power and resources are distributed based on political interests rather than merit, they experience diminished reciprocity toward their organization. As a result, their intention to leave the organization increases. These findings underscore the need to sustain and enhance public service motivation while mitigating perceived organizational politics. Enhancing fairness, transparency, and trust—while reducing political interference—can preserve public service motivation’s positive impact and reduce turnover intention within public sector organizations.
Full article

Figure 1
Open AccessArticle
Unraveling EFL Teacher Motivation for Pursuing a Master of Education Degree in the Chinese Context
by
Lixiang Gao, Honggang Liu and Zizheng Shen
Behav. Sci. 2025, 15(4), 473; https://doi.org/10.3390/bs15040473 (registering DOI) - 6 Apr 2025
Abstract
In recent years, the topic of language teacher motivation has garnered significant attention within the realm of language teacher psychology. Researchers have delved into various aspects, including teachers’ commitments to the teaching career, teachers’ teaching motivation, and teachers’ professional development motivation. Nevertheless, the
[...] Read more.
In recent years, the topic of language teacher motivation has garnered significant attention within the realm of language teacher psychology. Researchers have delved into various aspects, including teachers’ commitments to the teaching career, teachers’ teaching motivation, and teachers’ professional development motivation. Nevertheless, the motivation of English as a Foreign Language (EFL) teachers to engage in ongoing in-service learning, particularly the pursuit of a Master of Education (Ed.M.) degree, has received comparatively less scrutiny. To bridge this gap, the present study adopted Boshier’s Education Participation Scale (EPS) and Liu’s seven-dimensional motivation framework to explore the motivation of 529 Chinese EFL teachers in their quest for an Ed.M. degree. Utilizing Exploratory Structural Equation Modeling (ESEM), the analysis revealed seven types of key motivation: cognitive interest, social responsibility, academic information acquisition, academic achievement acquisition, school context, rival demand, and significant others. An examination of differences in EFL teacher motivation in terms of gender and school type showed that male teachers perceived significantly higher levels of cognitive interest and rival demand than female teachers did. And, teachers in regular schools reported significantly higher levels of significant others than those in key schools. We propose some future directions for EFL teacher motivation research.
Full article
Open AccessReview
Multi-Faceted Assessment of Children with Selective Mutism: Challenges and Practical Suggestions
by
Maayan Shorer
Behav. Sci. 2025, 15(4), 472; https://doi.org/10.3390/bs15040472 (registering DOI) - 5 Apr 2025
Abstract
The multi-faceted nature of Selective Mutism (SM), and its comorbidity with other disorders, necessitates a comprehensive assessment process. However, evaluating children with SM presents significant challenges, including difficulties in building rapport, establishing an accurate diagnosis, and conducting formal psychological and neuropsychological assessments. This
[...] Read more.
The multi-faceted nature of Selective Mutism (SM), and its comorbidity with other disorders, necessitates a comprehensive assessment process. However, evaluating children with SM presents significant challenges, including difficulties in building rapport, establishing an accurate diagnosis, and conducting formal psychological and neuropsychological assessments. This paper explores the key obstacles in assessing children with SM and provides practical recommendations for overcoming these challenges. Effective strategies for reducing anxiety during assessments include extended rapport-building phases, playful and engaging interactions, and the strategic use of parental involvement. Additionally, given the variability in SM symptoms across different settings, a multi-informant and multi-method assessment approach—including clinical observation, structured interviews, and standardized parent- and teacher-report measures—is recommended. This paper also discusses adaptations for formal testing, particularly in cognitive, language, and neurodevelopmental assessments, where SM-related speech avoidance can interfere with standardized evaluations. Nonverbal assessment tools, modifications to testing environments, and alternative response formats are proposed as potential solutions. Furthermore, we highlight the importance of differentiating SM from overlapping conditions, such as autism spectrum disorder and language impairments, to ensure accurate diagnosis and intervention planning. By implementing tailored assessment strategies, clinicians and researchers can improve diagnostic accuracy and better understand the unique needs of children with SM. This, in turn, can inform individualized treatment plans, enhance educational placement decisions, and support the overall well-being of children with SM.
Full article
(This article belongs to the Special Issue Approaches to Overcoming Selective Mutism in Children and Youths)
Open AccessReview
A Review of Temporal Self-Perceptions Among Emerging Adults: The Significance of Demographics and a Global Crisis on Psychological and Achievement Benefits
by
Samantha L. McMichael and Virginia S. Y. Kwan
Behav. Sci. 2025, 15(4), 471; https://doi.org/10.3390/bs15040471 (registering DOI) - 5 Apr 2025
Abstract
In industrialized societies, emerging adulthood is a unique developmental stage between adolescence and adulthood (i.e., 18 to 29 years old), where individuals continuously encounter decisions that have important consequences that unfold over time (i.e., intertemporal decisions). The present review paper had three aims.
[...] Read more.
In industrialized societies, emerging adulthood is a unique developmental stage between adolescence and adulthood (i.e., 18 to 29 years old), where individuals continuously encounter decisions that have important consequences that unfold over time (i.e., intertemporal decisions). The present review paper had three aims. The first aim was to provide a brief overview of emerging adulthood as a developmental stage and present a rationale for the importance of understanding the relationship between temporal self-perceptions and longitudinal outcomes in emerging adults. The second aim was to review evidence for a proposed model demonstrating the connection between three domains of temporal self-perceptions—future self-perceptions, longitudinal changes in future self-perceptions, and continuity between temporal selves (i.e., past-to-future)—, self-regulatory processes, and positive downstream consequences (e.g., psychological well-being and academic success) in emerging adults. Specifically, this targeted review sought to highlight research exploring the longitudinal processes in these relationships (e.g., changes in temporal self-perceptions over time and the relationship between temporal self-perceptions and longitudinal outcomes) and testing how these relationships function amidst a large-scale challenge (i.e., the COVID-19 pandemic). Given the heterogeneity of emerging adults as a demographic group, the third aim was to review research exploring demographic factors (e.g., gender and socioeconomic status) as a potential moderator of these relationships. The review provided support for the proposed model, highlighting the importance of perceptions of temporal selves in predicting a range of positive long-term outcomes, including self-regulatory processes, psychological well-being, and achievement. Additionally, the review demonstrated preliminary support for the significance of crucial demographic factors (e.g., gender and socioeconomic status) in understanding the nature of these relationships in emerging adults. Finally, the review suggests future directions to extend this growing literature and broaden the understanding of these relationships.
Full article
(This article belongs to the Section Social Psychology)
►▼
Show Figures

Figure 1
Open AccessArticle
Effects of Landscape Characteristic Perception of Campus on College Students’ Mental Restoration
by
Wei Gao, Binglin Martin Tang and Bing Liu
Behav. Sci. 2025, 15(4), 470; https://doi.org/10.3390/bs15040470 (registering DOI) - 5 Apr 2025
Abstract
Emerging evidence underscores the beneficial effects of campus green spaces (CGSs) on student well-being and recovery. Previous research has predominantly examined the independent roles of landscape characteristics and preferences in mental restoration. However, limited studies have explored the complex interrelationships among restorative effects,
[...] Read more.
Emerging evidence underscores the beneficial effects of campus green spaces (CGSs) on student well-being and recovery. Previous research has predominantly examined the independent roles of landscape characteristics and preferences in mental restoration. However, limited studies have explored the complex interrelationships among restorative effects, landscape characteristics, preferences, and place-bonding factors, particularly within the context of CGSs. To address this gap, this study developed a validated campus landscape perception scale comprising three dimensions (perception of natural characteristics, perception of artificial characteristics, spatial perception) and 20 related indicators. In the second phase, the scale was used to investigate the influence mechanism of perceived campus landscape characteristics on mental restoration. A total of 36 CGSs across six higher education institutions in Nanjing were selected, representing diverse spatial types. The restoration experiences of 759 participants were measured using psychological indicators when viewing these landscapes. With the help of deep learning techniques, landscape elements were integrated with perceptual factors for partial least squares (PLS)-based statistical analysis. Our findings indicate that the natural and spatial dimensions significantly influence mental restoration, whereas the artificial dimension does not directly impact psychological health. Nevertheless, all dimensions indirectly enhance mental restoration through landscape preference and perceived restorativeness. The study also revealed the moderating effect of objective landscape elements on the relationship between the perception of landscape characteristics and landscape preference. This study confirms the positive role of perceived campus landscape characteristics in fostering mental restoration among students and elucidates the intricate pathway of influence, namely “perception of landscape characteristics → landscape preference → perceived restorativeness → mental restoration”. These findings offer new insights into the complex processes of environmental restoration, where psychological and physical factors are intertwined. Finally, theoretical and managerial implications for improving landscape planning in restoration research are proposed.
Full article
(This article belongs to the Topic Biophilic Cities and Communities: Human-Environment Interaction and Sustainable Governance)
►▼
Show Figures

Figure 1
Open AccessArticle
Ethical Decision-Making in Education: A Comparative Study of Teachers and Artificial Intelligence in Ethical Dilemmas
by
Neslihan Karakuş, Kerim Gedik and Semin Kazazoğlu
Behav. Sci. 2025, 15(4), 469; https://doi.org/10.3390/bs15040469 (registering DOI) - 4 Apr 2025
Abstract
The use of artificial intelligence (AI) in education supports long-term educational goals. AI enables learners to engage with ethical issues through simulations and virtual environments, allowing them to experience responsible decision-making in practice. Additionally, it assists administrators and educators in making data-driven decisions,
[...] Read more.
The use of artificial intelligence (AI) in education supports long-term educational goals. AI enables learners to engage with ethical issues through simulations and virtual environments, allowing them to experience responsible decision-making in practice. Additionally, it assists administrators and educators in making data-driven decisions, contributing to the more effective formulation of educational policies. This study examines how teachers and AI address ethical educational dilemmas, comparing their decisions based on gender, experience, and education level. A total of 141 public school teachers in Turkey participated in the study, and their responses were compared with AI-generated decisions using Yin’s nested multiple-case design. The scenarios were analyzed within the framework of five ethical perspectives: virtue ethics, deontological ethics, utilitarianism, social justice ethics, and situation ethics. AI aligned with teachers in five out of eight ethical dilemmas but differed in three cases, adopting a more analytical and outcome-oriented approach. In contrast, teachers placed greater emphasis on empathy and adherence to ethical principles. These findings highlight the differences in ethical decision-making between AI and teachers, emphasizing the role of AI in fostering ethical responsibility and awareness in education.
Full article
(This article belongs to the Section Educational Psychology)
►▼
Show Figures

Figure 1
Open AccessSystematic Review
Immersive Extended Reality (I-XR) in Medical and Nursing for Skill Competency and Knowledge Acquisition: A Systematic Review and Implications for Pedagogical Practices
by
Jennifer M. B. Fugate, Michaela J. Tonsager and Sheila L. Macrine
Behav. Sci. 2025, 15(4), 468; https://doi.org/10.3390/bs15040468 (registering DOI) - 4 Apr 2025
Abstract
Simulation has evolved from basic practice to Immersive Extended Reality (I-XR). This systematic review examined 56 published studies on the impact of I-XR, including virtual reality (VR), augmented reality (AR), and mixed reality (MR), on the education of medical and nursing students, specifically
[...] Read more.
Simulation has evolved from basic practice to Immersive Extended Reality (I-XR). This systematic review examined 56 published studies on the impact of I-XR, including virtual reality (VR), augmented reality (AR), and mixed reality (MR), on the education of medical and nursing students, specifically their skill competency, and knowledge acquisition. The results demonstrate the significant potential of I-XR in healthcare education, with 42.5% of VR studies, 42.9% of AR studies, and the single MR study also demonstrating greater improvements in clinical skills and knowledge acquisition compared to non-immersive (non-I-XR) training conditions. In contrast, only 2.5% of VR studies and 7.14% of AR studies favored non-I-XR methods. It is important, however, to acknowledge the 26.8% of studies that showed mixed results (some evidence for the I-XR methods on some outcomes, but also some evidence for the non-I-XR methods, on other outcomes). Notably, the review also identified a critical gap in the theoretical foundations of I-XR learning, highlighting the urgent need for research to inform the effective pedagogical implementation of these powerful tools. We offer a preliminary framework to address the lack of learning theory in healthcare I-XR training, with implications for pedagogical practices.
Full article
(This article belongs to the Special Issue Neurocognitive Foundations of Embodied Learning)
►▼
Show Figures

Figure 1
Open AccessSystematic Review
A Systematic Review of Responses, Attitudes, and Utilization Behaviors on Generative AI for Teaching and Learning in Higher Education
by
Fan Wu, Yang Dang and Manli Li
Behav. Sci. 2025, 15(4), 467; https://doi.org/10.3390/bs15040467 (registering DOI) - 4 Apr 2025
Abstract
The utilization of Generative AI (GenAI) in higher education classrooms has significantly increased in recent years. Studies show that GenAI holds promise in impacting the learning experiences of both students and teachers, offering personalized learning and assessment opportunities. This study conducts a systematic
[...] Read more.
The utilization of Generative AI (GenAI) in higher education classrooms has significantly increased in recent years. Studies show that GenAI holds promise in impacting the learning experiences of both students and teachers, offering personalized learning and assessment opportunities. This study conducts a systematic review of the responses, attitudes, and behaviors related to the application of GenAI within higher education classrooms. To this end, we synthesized 99 papers published between 2020 and August 2024, focusing on the utilization of GenAI in higher education settings. The analysis addresses three key inquiries: responses, attitudes, and behaviors. This systematic review provides an updated understanding from psychological perspectives of GenAI’s role in the teaching and learning processes of higher education, with a particular emphasis on GenAI technologies.
Full article
(This article belongs to the Special Issue Artificial Intelligence and Educational Psychology)
Open AccessArticle
Brief Mindfulness-Based Intervention for Seniors—An Exploratory Semi-Randomized Examination of Decentering Effects on Cognitive Functions and Psychological Distress
by
Ophir Katzenelenbogen and Daniela Aisenberg-Shafran
Behav. Sci. 2025, 15(4), 466; https://doi.org/10.3390/bs15040466 - 3 Apr 2025
Abstract
The need for psychological treatment in the community, specifically in times of crisis and for those in isolation, calls for finding suitable interventions, especially for older adults. The present study examined the effect of a short mindfulness-based intervention emphasizing a ’decentering’ component and
[...] Read more.
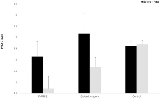
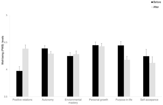
The need for psychological treatment in the community, specifically in times of crisis and for those in isolation, calls for finding suitable interventions, especially for older adults. The present study examined the effect of a short mindfulness-based intervention emphasizing a ’decentering’ component and an equivalent guided-imagery intervention on cognitive and emotional measures in seniors living in the community. Thirty community seniors (Mage = 74.7) performed either ’decentering’ or matched guided-imagery intervention, or care as usual as a control. The 8-week interventions included weekly 20 min sessions and daily 10 min home practice. Participants underwent a cognitive and emotional assessment before and after the interventions, which included filling out questionnaires and performing the cognitive Simon task. The results showed improvements only for intervention groups: cognitively, reduced response time and improved accuracy rate were found in the Simon task. Emotionally, reported depression levels were decreased and an increase in reported positive relationships was found. Our study, hence, introduces two intervention protocols, with promising positive effects on psychological and cognitive status. This contributes evidence-based treatments, easy to deliver in nursing homes or retirement communities, for improving the life quality of older adults.
Full article
(This article belongs to the Special Issue Embracing Aging in Place: Fostering Healthy Cognitive Aging in the Community)
►▼
Show Figures

Figure 1
Open AccessArticle
“Remaining Vigilant” While “Enjoying Prosperity”: How Artificial Intelligence Usage Impacts Employees’ Innovative Behavior and Proactive Skill Development
by
Jin Qian, Jiaxi Chen and Shuming Zhao
Behav. Sci. 2025, 15(4), 465; https://doi.org/10.3390/bs15040465 - 3 Apr 2025
Abstract
As Artificial Intelligence (AI) has become a crucial element in the competitive advantage of enterprises, it is important to understand how to stimulate employees’ creativity and initiative to cope with AI-driven changes. Drawing from the traditional Chinese wisdom of “remaining vigilant while enjoying
[...] Read more.
As Artificial Intelligence (AI) has become a crucial element in the competitive advantage of enterprises, it is important to understand how to stimulate employees’ creativity and initiative to cope with AI-driven changes. Drawing from the traditional Chinese wisdom of “remaining vigilant while enjoying prosperity” and based on the Conservation of Resources Theory, this study explored the impact of AI usage on employees’ innovative behavior and proactive skill development. The results of a three-stage survey of 350 questionnaires showed that (1) AI usage positively influences employees’ innovative behavior and proactive skill development; (2) job absorption partially mediates the relationship between AI usage and employees’ innovative behavior; (3) AI job replacement anxiety partially mediates the relationship between AI usage and proactive skill development; and (4) employees’ learning goal orientation positively moderates the impact of AI usage on innovative behavior through job absorption and on proactive skill development through AI job replacement anxiety. This study provides insights into how individuals respond to AI-driven changes and offers a novel perspective for developing research on AI usage at the individual level.
Full article
(This article belongs to the Special Issue Employee Behavior on Digital-AI Transformation)
►▼
Show Figures

Figure 1
Open AccessArticle
Disappearing Integrative Motivation: A Validated Scale of Motivation for Learners of Southeast Asian Languages
by
Xiaobin Ren and Lin Wang
Behav. Sci. 2025, 15(4), 464; https://doi.org/10.3390/bs15040464 - 3 Apr 2025
Abstract
This study aimed to develop and validate a motivation scale specifically designed for university students enrolled in Southeast Asian language programs. Utilizing a thematic analysis of interviews with 28 students, five key motivational dimensions were identified: institutional environment, proficiency demand, self-development planning, social
[...] Read more.
This study aimed to develop and validate a motivation scale specifically designed for university students enrolled in Southeast Asian language programs. Utilizing a thematic analysis of interviews with 28 students, five key motivational dimensions were identified: institutional environment, proficiency demand, self-development planning, social responsibilities, and intrinsic interest. These dimensions informed the construction of an initial scale, which was empirically tested and refined through two rounds of validation. The final 19-item scale covers four core dimensions, excluding intrinsic interest, reflecting the dominance of instrumental motivations in this context. Results highlighted the practical and goal-oriented nature of these motivations, differing from the integrative motivations observed in learners of global languages like English. This study fills a research gap by offering a validated tool for assessing language learning motivation in smaller, regionally significant language programs and provides insights into the unique motivational factors driving these learners.
Full article
(This article belongs to the Special Issue The Role of Motivation and Cognitive and Metacognitive Strategies in Learning across the Lifespan)
►▼
Show Figures

Figure 1
Journal Menu
► ▼ Journal Menu-
- Behavioral Sciences Home
- Aims & Scope
- Editorial Board
- Reviewer Board
- Topical Advisory Panel
- Instructions for Authors
- Special Issues
- Topics
- Sections
- Article Processing Charge
- Indexing & Archiving
- Editor’s Choice Articles
- Most Cited & Viewed
- Journal Statistics
- Journal History
- Journal Awards
- Editorial Office
Journal Browser
► ▼ Journal BrowserHighly Accessed Articles
Latest Books
E-Mail Alert
News
Topics
Topic in
Administrative Sciences, Businesses, Behavioral Sciences, JTAER
Interactive Marketing in the Digital Era
Topic Editors: Chenglu Wang, Jiaxun He, Fue Zeng, Rui Guo, Morgan Yang, Andy Hao, Hongfei LiuDeadline: 26 June 2025
Topic in
Behavioral Sciences, Brain Sciences, Children, Education Sciences
Risk and Protective Factors in Social Interactions: Behavioral and Neural Evidence
Topic Editors: Xuechen Ding, Wan Ding, Liyang SaiDeadline: 1 August 2025
Topic in
Behavioral Sciences, Religions, Social Sciences, Youth
Educational and Health Development of Children and Youths
Topic Editors: Jerf W. K. Yeung, Huifang ChenDeadline: 1 December 2025
Topic in
Behavioral Sciences, Children, Education Sciences, Social Sciences, Sustainability, EJIHPE
Influence of Physical Activity, Nutrition, Educators and Parents on Children's Health Development
Topic Editors: Laura Daniuseviciute-Brazaite, Lina DraudvilieneDeadline: 31 December 2025
Conferences
Special Issues
Special Issue in
Behavioral Sciences
Psychosocial Care and Support in Dementia
Guest Editors: Sara Laureen Bartels, Esther Loseto-GerritzenDeadline: 15 April 2025
Special Issue in
Behavioral Sciences
Psychological Flexibility for Health and Wellbeing
Guest Editors: Emily Sandoz, Thomas SeaseDeadline: 18 April 2025
Special Issue in
Behavioral Sciences
The Impact of Psychosocial Factors on Health Behaviors
Guest Editor: Hyoung Suk LeeDeadline: 20 April 2025
Special Issue in
Behavioral Sciences
How Couple Relationships Affect Mental Health
Guest Editor: Suzanne Bartle-HaringDeadline: 20 April 2025


