-
The Impact of Genotype and Temperature on Insecticide Toxicity in Aedes aegypti -
Balancing Reproduction and Immunity in Insects -
FreezeBee: An Antibiotic-Free Freezing Protocol for Drone Semen -
Larval Substrates Impact Black Soldier Fly Size, Egg Production, and Hatch Rates -
An Overview of the Nutritional Requirements of Honey Bees (Apis mellifera Linnaeus, 1758)
Journal Description
Insects
Insects
is an international, peer-reviewed, open access journal on entomology published monthly online by MDPI.
- Open Access— free for readers, with article processing charges (APC) paid by authors or their institutions.
- High Visibility: indexed within Scopus, SCIE (Web of Science), PubMed, PMC, PubAg, and other databases.
- Journal Rank: JCR - Q1 (Entomology) / CiteScore - Q1 (Insect Science)
- Rapid Publication: manuscripts are peer-reviewed and a first decision is provided to authors approximately 16.7 days after submission; acceptance to publication is undertaken in 2.4 days (median values for papers published in this journal in the second half of 2024).
- Recognition of Reviewers: reviewers who provide timely, thorough peer-review reports receive vouchers entitling them to a discount on the APC of their next publication in any MDPI journal, in appreciation of the work done.
Impact Factor:
2.7 (2023);
5-Year Impact Factor:
2.9 (2023)
Latest Articles
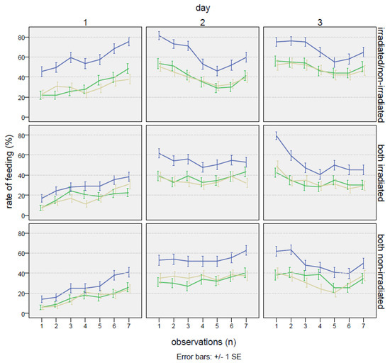
Sterile but Sexy: Assessing the Mating Competitiveness of Irradiated Bagrada hilaris Males for the Development of a Sterile Insect Technique
Insects 2025, 16(4), 391; https://doi.org/10.3390/insects16040391 (registering DOI) - 7 Apr 2025
Abstract
Bagrada hilaris (known as painted bug) is a pest native to India, Southeast Asia, and middle and central Africa and was reported as invasive in the southwestern USA, Hawaii, Mexico, South America, and two Mediterranean islands. The feeding activity results in extensive damage
[...] Read more.
Bagrada hilaris (known as painted bug) is a pest native to India, Southeast Asia, and middle and central Africa and was reported as invasive in the southwestern USA, Hawaii, Mexico, South America, and two Mediterranean islands. The feeding activity results in extensive damage to economically important Brassicaceae crops. Among sustainable alternatives to synthetic pesticides, the Sterile Insect Technique (SIT) is considered a promising strategy because it relies on the release of competitive sterile males that can reduce the pest reproduction. In this study, the efficacy of different doses of gamma irradiation (60, 80, and 100 Gy) was evaluated to identify the treatment that would ensure high sterility without compromising the competitiveness of the treated males. Observational tests showed that the doses of 60 Gy and 80 Gy showed no difference in mating times compared to non-irradiated males, in contrast to 100 Gy. Thus, 80 Gy was identified as the most promising dose. For further investigation, tests were conducted under choice and no-choice conditions at 80 Gy for three days. The results showed that irradiated males had a comprehensive higher mating rate than non-irradiated males, and under choice conditions, they were often preferred by females, confirming that SIT has potential as an environment-friendly method for controlling B. hilaris.
Full article
(This article belongs to the Section Insect Pest and Vector Management)
►
Show Figures
Open AccessArticle
Inter- and Intra-Species Variation and Genetic Diversity of Flea Ectoparasites in Hedgehogs (Mammalia, Erinaceidae) Collected in Northern Algeria
by
Ourida Chebbah, Karim Souttou, Karim Ouachek, Mohamed Lounis, Sophie Brun, Arezki Izri and Mohammad Akhoundi
Insects 2025, 16(4), 390; https://doi.org/10.3390/insects16040390 (registering DOI) - 6 Apr 2025
Abstract
Hedgehogs are small omnivorous mammals prevalent across Europe, Asia, and Africa. The expanding intrusion of humans into hedgehog habitats and rising popularity of keeping exotic animals like hedgehogs as pets have disrupted the delicate balance of the human–animal–environment interface. Despite their ecological importance,
[...] Read more.
Hedgehogs are small omnivorous mammals prevalent across Europe, Asia, and Africa. The expanding intrusion of humans into hedgehog habitats and rising popularity of keeping exotic animals like hedgehogs as pets have disrupted the delicate balance of the human–animal–environment interface. Despite their ecological importance, hedgehog-borne flea species have received limited research attention, with most studies focusing on their vectorial role, and except one report, nothing on the species composition and genetic diversity of hedgehog flea specimens. An inventory and phylogenetic investigation, conducted for the first time in Algeria as well as in North Africa, allowed for collecting 45 hedgehogs (15 males and 30 females) and 303 fleas, and analyzing them through morphological and molecular approaches. The hedgehog specimens were subjected to macro- and microscopic examinations based on diagnostic morphological criteria and morphometric measurements, resulting in their identification as Atelerix algirus. This study represents the first report of this species’ prevalence in Djelfa. The ecological and geographical diversity of the studied areas, from arid deserts to humid regions, highlights the adaptability and resilience of A. algirus to diverse habitats. Additionally, 271 and 32 flea specimens were morphologically identified as Archaeopsylla erinacei and Ctenocephalides felis, respectively. Molecular examination targeting ITS1-rDNA further confirmed the morphological identification of fleas species. Phylogenetic analysis of fleas’ ITS1-rDNA sequences revealed heterogeneity, with the specimens clustering into two distinct clades. The first clade comprised two populations of A. erinacei, while the second clade included C. felis specimens of this study, grouped with homologous sequences from various regions worldwide. No correlation between flea species and geographical locations was observed demonstrating the sympatric distribution of flea specimens in the studied regions. In addition, no hybrid or genetic combination notion was observed among the flea specimens processed in this study compared with those coming from other countries. These findings contribute to our understanding of the species composition and distribution of hedgehogs and their flea ectoparasites in Algeria and provide a baseline for future epidemiological and entomological research in the country.
Full article
(This article belongs to the Special Issue Genetic Diversity of Insects)
►▼
Show Figures

Figure 1
Open AccessCase Report
Tick Bite Granuloma After Incomplete Removal of Ixodes ricinus Tick
by
Katarzyna Bartosik, Agata Szczecina, Agnieszka Borzęcka-Sapko, Magdalena Raszewska-Famielec and Alicja Buczek
Insects 2025, 16(4), 389; https://doi.org/10.3390/insects16040389 (registering DOI) - 6 Apr 2025
Abstract
Ixodes ricinus (Acari: Ixodidae) ticks infest humans in Europe most frequently. This report describes an interesting case of a persistent inflammatory skin reaction developed in a patient after the incomplete removal of an I. ricinus female tick. A 47-year-old female patient incompletely removed
[...] Read more.
Ixodes ricinus (Acari: Ixodidae) ticks infest humans in Europe most frequently. This report describes an interesting case of a persistent inflammatory skin reaction developed in a patient after the incomplete removal of an I. ricinus female tick. A 47-year-old female patient incompletely removed a female I. ricinus tick feeding in the lumbar region for approximately 12 h. After 9 weeks of persistent itching and burning, the skin from the tick feeding site was sampled for histopathological examination. The lesion exhibited the presence of abundant inflammatory infiltrates composed of lymphocytes, plasma cells, and eosinophils, as well as multinucleated macrophages and irregular fibrosis. The histopathological image revealed the presence of a tick bite granuloma. This study indicates that persistent symptoms of an inflammatory reaction may develop after incomplete tick removal, even after a short time of feeding.
Full article
(This article belongs to the Special Issue Women’s Special Issue Series: Insects)
►▼
Show Figures

Figure 1
Open AccessArticle
Environmental Heterogeneity and Altitudinal Gradients Drive Darkling Beetle Diversity in an Alluvial Fan
by
Min Zhao, Yuan Wang, Wenbin Yang, Yachao Zhu, Shuyu Zhang, Yongliang Liang and Guijun Yang
Insects 2025, 16(4), 388; https://doi.org/10.3390/insects16040388 (registering DOI) - 5 Apr 2025
Abstract
Exploring the diversity and community structure of darkling beetles (Tenebrionidae) and the associated environmental factors on an alluvial fan provides useful insights into the ecology of these landscape features. This study investigated Chaqikou in the Helan Mountains, which features unique alluvial fan landforms.
[...] Read more.
Exploring the diversity and community structure of darkling beetles (Tenebrionidae) and the associated environmental factors on an alluvial fan provides useful insights into the ecology of these landscape features. This study investigated Chaqikou in the Helan Mountains, which features unique alluvial fan landforms. Sample plots (200 × 200 m) were established at three positions: the fan top, fan middle, and fan edge. From May to October 2023, pitfall traps were used to survey beetle community composition and its relationship with environmental factors. Significant variations were observed in species composition and diversity indices across different months and sample plots. Strongly xerophilous species exhibited broader ecological niche breadth, while moderately xerophilous species tended to distribute in the mid-to-upper segments of alluvial fans. Non-metric multidimensional scaling analysis revealed temporal shifts in community composition, with beta diversity analysis showing that species nestedness dominated from June to August, while species replacement was prominent in May, September, and October. Redundancy analysis indicated that environmental factors affecting species distribution varied by plot. On the landscape scale, altitude was the primary factor affecting beetle distribution. Variance partitioning analysis showed that topographic, soil, and vegetation factors explained 51.7%, 20.2%, and 9.4% of the variation in the beetle community, respectively. It is evident that altitudinal gradients shape ecological filtering pressures by creating multidimensional heterogeneity in topography, soil properties, and vegetation coverage. The adaptive matching between Tenebrionid species’ biological traits and environmental factors ultimately governs the spatial distribution patterns of darkling beetle diversity in alluvial fan desert grasslands.
Full article
(This article belongs to the Special Issue Aquatic Insects: Diversity, Ecology and Evolution)
►▼
Show Figures

Figure 1
Open AccessArticle
Efficacy of the Combination of λ-Cyhalothrin and Chlorantraniliprole Against Four Key Storage Pests
by
Waqas Wakil, Nickolas G. Kavallieratos, Aqsa Naeem, Hamza Jamil, Demeter Lorentha S. Gidari and Maria C. Boukouvala
Insects 2025, 16(4), 387; https://doi.org/10.3390/insects16040387 - 4 Apr 2025
Abstract
With over 1000 species of pests causing losses in both the quantity and quality of stored food, insect contamination poses significant challenges. The present study assesses the efficacy of the combination of λ-cyhalothrin and chlorantraniliprole against four key storage pests—Trogoderma granarium,
[...] Read more.
With over 1000 species of pests causing losses in both the quantity and quality of stored food, insect contamination poses significant challenges. The present study assesses the efficacy of the combination of λ-cyhalothrin and chlorantraniliprole against four key storage pests—Trogoderma granarium, Sitophilus oryzae, Rhyzopertha dominica, and Tribolium castaneum. Laboratory bioassays demonstrated species-dependent mortality, with S. oryzae and R. dominica suffering 100% mortality in several tested scenarios. A 90-day persistence trial revealed decreased efficacy over time, especially for T. granarium (32.0–71.4% at 0 days and 0.0–7.5% at 90 days) and T. castaneum (38.8–82.7% at 0 days and 0.0–12.7% at 90 days) vs. S. oryzae and R. dominica. Progeny production of S. oryzae and R. dominica was almost suppressed in persistence trials (0.4 individuals per vial and 1 individual per vial, respectively) after 30 days of storage at the dose of 5 mg/kg wheat. The results highlight the variability in insecticidal performance based on species, dose, exposure, and commodity type, emphasizing the need for tailored pest management strategies in the storage environment.
Full article
(This article belongs to the Special Issue Selected Papers from the Second International Electronic Conference on Entomology)
Open AccessArticle
Shape as a Key to Taxonomy: Morphometric Analysis of Tetropium Species (Coleoptera: Cerambycidae)
by
Allan H. Smith-Pardo, Steven W. Lingafelter, David Laroze, Alejandro Piñeiro-Gonzalez and Hugo A. Benítez
Insects 2025, 16(4), 386; https://doi.org/10.3390/insects16040386 - 4 Apr 2025
Abstract
The study of shape by the use of geometric morphometrics has been an important tool for addressing taxonomic challenges in complex groups like the genus Tetropium Kirby, 1837 (Coleoptera, Cerambycidae). This insect genus includes 28 species, 8 of which are found in North
[...] Read more.
The study of shape by the use of geometric morphometrics has been an important tool for addressing taxonomic challenges in complex groups like the genus Tetropium Kirby, 1837 (Coleoptera, Cerambycidae). This insect genus includes 28 species, 8 of which are found in North America, with the invasive T. fuscum (Fabricius) posing a significant quarantine risk as a pest of coniferous trees. The present study evaluated the use of geometric morphometrics to analyze the pronotum shape in females of nine species of the genus, showing the effectiveness of this tool in distinguishing between species. Even if some overlaps were found between some species, this research highlights the potential of GM in developing pest monitoring, quarantine managements, and integrated pest management programs. Our findings suggest that the use of a comprehensive database of landmarks, encompassing broader geographic and ecological diversity, could further improve species identification at ports of entry and facilitate trade.
Full article
(This article belongs to the Section Insect Systematics, Phylogeny and Evolution)
►▼
Show Figures

Figure 1
Open AccessArticle
Diversity of Potential Resistance Mechanisms in Honey Bees (Apis mellifera) Selected for Low Population Growth of the Parasitic Mite, Varroa destructor
by
Alvaro De la Mora, Paul H. Goodwin, Nuria Morfin, Tatiana Petukhova and Ernesto Guzman-Novoa
Insects 2025, 16(4), 385; https://doi.org/10.3390/insects16040385 - 4 Apr 2025
Abstract
Honey bees (Apis mellifera) bred for resistance to the parasitic mite, Varroa destructor, were examined for potential Varroa resistance mechanisms following bidirectional selection for low (resistant) or high (susceptible) Varroa population growth (LVG and HVG, respectively) based on mite fall
[...] Read more.
Honey bees (Apis mellifera) bred for resistance to the parasitic mite, Varroa destructor, were examined for potential Varroa resistance mechanisms following bidirectional selection for low (resistant) or high (susceptible) Varroa population growth (LVG and HVG, respectively) based on mite fall in colonies at two different time points. Hygienic and grooming behavior rates in LVG colonies were significantly higher than those in HVG colonies for two out of three generations of selection, indicating that behavioral resistance to the mite increased. For the third generation, grooming start time was significantly shorter, and grooming intensity more frequent in LVG bees than in HVG bees. Cellular immunity was increased as well, based on significantly higher haemocyte concentrations in non-parasitized and Varroa-parasitized LVG bees. Humoral immunity was increased with Varroa-parasitized LVG bees, which had significantly higher expression of the antimicrobial peptide gene, hymenoptaecin 2. In addition, antiviral resistance may be involved as there were significantly lower levels of deformed wing virus (DWV) in Varroa-parasitized LVG bees. While selection for LVG and HVG bees was solely based on Varroa population growth, it appears that behavioral, cellular, and humoral mechanisms were all selected along with this resistance. Thus, LVG resistance appears to be a multi-gene trait, involving multiple resistance mechanisms.
Full article
(This article belongs to the Section Insect Physiology, Reproduction and Development)
►▼
Show Figures

Figure 1
Open AccessArticle
Cuticular Hydrocarbons of Six Geographic Populations of Ips subelongauts in Northeastern China: Similarities and Evolutionary Hints
by
Yuge Zhao, Chao Wang, Xinmeng Liu, Xu Lin, Dongdong Chu, Junyi Ding, Xiangbo Kong and Dafeng Chen
Insects 2025, 16(4), 384; https://doi.org/10.3390/insects16040384 - 3 Apr 2025
Abstract
The Asian larch bark beetle, I. subelongatus Motschulsky, is a severe pest of various Larix species in its natural range. This study reports the degree of similarity among cuticular hydrocarbon (CHC) profiles of six populations of I. subelongatus in northeastern China. Thirty individual
[...] Read more.
The Asian larch bark beetle, I. subelongatus Motschulsky, is a severe pest of various Larix species in its natural range. This study reports the degree of similarity among cuticular hydrocarbon (CHC) profiles of six populations of I. subelongatus in northeastern China. Thirty individual or isomeric mixtures of hydrocarbons were identified by solid-phase microextraction (SPME) coupled with gas chromatography–mass spectrometry (GC–MS). The hydrocarbon components consist of straight-chain alkanes, alkenes, and methyl-branched hydrocarbons with carbon chain lengths ranging from 24 to 31. Among these, four CHCs (n-C25, 9-C27:1, n-C27, and 3-meC27) can serve as chemotaxonomic markers to identify I. subelongatus. No qualitative differences were detected between males and females in any of the six populations, but significant quantitative differences were observed in some CHCs. Phylogenetic analysis based on CHC profiles showed only minor differences compared to analysis based on partial mtDNA COI sequences regarding bark beetle species affinity. These results establish a rapid chemotaxonomic method and provide a basis for further investigations into the functions of CHCs in I. subelongatus.
Full article
(This article belongs to the Special Issue Beetles in Integrative Entomology: Biology, Taxonomy, and Conservation)
►▼
Show Figures

Figure 1
Open AccessArticle
Influence of Different Diets on Growth and Development of Eastern Honey Bee (Apis cerana)
by
Ruonan Liang, Cheng Liang, Yi Zhang, Jiaxing Huang and Guiling Ding
Insects 2025, 16(4), 383; https://doi.org/10.3390/insects16040383 - 3 Apr 2025
Abstract
In recent years, honey bees have been stressed by multiple factors, with malnutrition posing a significant threat to the healthy development of honey bee colonies. To keep a colony healthy and productive, beekeepers supply their colonies with supplementary pollen or commercial pollen substitutes
[...] Read more.
In recent years, honey bees have been stressed by multiple factors, with malnutrition posing a significant threat to the healthy development of honey bee colonies. To keep a colony healthy and productive, beekeepers supply their colonies with supplementary pollen or commercial pollen substitutes during periods of pollen dearth or insufficient pollen quantity or quality. In this study, we evaluated the effects of four natural pollen types (oilseed rape pollen, camellia pollen, lotus pollen and buckwheat pollen) and two commercial pollen substitutes (Diet 1 and Diet 2) against a control group (sucrose solution) on Apis cerana through cage experiments. The food consumption, live body weight, longevity, hypopharyngeal gland development and midgut proteolytic enzyme activity of caged workers were measured. The food consumption rates of oilseed rape pollen and buckwheat pollen were greater than the other diets. Oilseed rape pollen and camellia pollen were recognized as excellent-quality diets for hypopharyngeal gland development and midgut proteolytic enzyme activity. Over the entire experimental period, the caged workers fed with lotus pollen had a similar diet consumption and body weight to those fed with pollen substitutes, and these bees had a significantly higher survival rate than those fed with other diets. The results indicated that the commercial pollen substitutes appeared to be less beneficial to caged A. cerana workers than the natural pollen resources.
Full article
(This article belongs to the Special Issue Biology and Conservation of Honey Bees)
►▼
Show Figures

Figure 1
Open AccessArticle
Modeling the Potential Distribution and Future Dynamics of Important Vector Culex tritaeniorhynchus Under Climate Change Scenarios in China
by
Boyang Liu, Li Li, Zhulin Zhang, Haoyu Ran and Mingwei Xing
Insects 2025, 16(4), 382; https://doi.org/10.3390/insects16040382 - 3 Apr 2025
Abstract
In the context of global warming, there is an increasing risk of the emergence and re-emergence of vector-borne diseases (VBDs). As one of the most important vectors, Culex tritaeniorhynchus can carry and transmit numerous human and animal infectious pathogens. To better understand the
[...] Read more.
In the context of global warming, there is an increasing risk of the emergence and re-emergence of vector-borne diseases (VBDs). As one of the most important vectors, Culex tritaeniorhynchus can carry and transmit numerous human and animal infectious pathogens. To better understand the current distribution and possible future dynamics of Cx. tritaeniorhynchus in China, an ecological niche modeling approach (MaxEnt) was adopted to model its current and future habitat suitability. The most comprehensive dataset (1100 occurrence records) in China to date was established for model training. Multiple global climate models (GCMs) and climate change scenarios were introduced into the model to counter the uncertainties of future climate change. Based on the model prediction, Cx. tritaeniorhynchus currently exhibits high habitat suitability in southern, central, and coastal regions of China. It is projected that its suitable niche will experience continuous expansion, and the core distribution is anticipated to shift northward in the future 21st century (by the 2050s, 2070s and 2090s). Several environmental variables that reflect temperature, precipitation, and land-use conditions were considered to have a significant influence on the distribution of Cx. tritaeniorhynchus, among which annual mean temperature and urban land contribute the most to the model. Our study conducted a quantitative analysis of the shift and expansion of the future habitats of Cx. tritaeniorhynchus, providing references for vector monitoring and the prevention and control of VBDs.
Full article
(This article belongs to the Special Issue Control and Surveillance of Mosquitoes to Reduce the Spread of Mosquito-Borne Disease)
►▼
Show Figures

Figure 1
Open AccessArticle
Molecular Diversity of Three Forensically Relevant Dipterans from Cadavers in Lahore, Pakistan
by
Atif Adnan, Sundus Mona, Allah Rakha, Shahid Nazir, Hongbo Wang and Fu Ren
Insects 2025, 16(4), 381; https://doi.org/10.3390/insects16040381 - 3 Apr 2025
Abstract
Molecular diversity, which reflects variation in species abundance and genetic structure, plays a pivotal role in forensic entomology by enabling the accurate identification of insect evidence through tools such as DNA barcoding. In Pakistan, the absence of trained forensic entomologists and limited research
[...] Read more.
Molecular diversity, which reflects variation in species abundance and genetic structure, plays a pivotal role in forensic entomology by enabling the accurate identification of insect evidence through tools such as DNA barcoding. In Pakistan, the absence of trained forensic entomologists and limited research on insect biodiversity hinder the effective use of entomological evidence in criminal investigations. Traditional morphological identification methods are insufficient for resolving complex forensic cases, particularly when dealing with immature insect stages. This highlights the urgent need for molecular approaches, such as DNA barcoding, to enhance species identification and genetic analysis of forensically relevant insects. This study uniquely focuses on evaluating the utility of a 658 bp fragment of the mitochondrial cytochrome oxidase subunit 1 (CO1) gene for identifying dipteran species collected from cadavers in Lahore, Pakistan. The primary goal was to identify forensically relevant insect species, assess their genetic diversity and population structure, and compare these findings with global data to contextualize the results within forensic entomology. Three blow fly species were identified: Chrysomya megacephala (Fabricius, 1794), Chrysomya saffranea (Bigot, 1877), and Chrysomya rufifacies (Macquart, 1843). Low genetic diversity was observed within populations, while significant genetic differentiation among populations was indicated by a high fixation index (FST = 0.83992). These findings suggest unique genetic signatures for blow fly populations in Lahore. This study underscores the importance of molecular tools like DNA barcoding for species identification and highlights the need for further research to establish a comprehensive database of forensically relevant insects in Pakistan, given the limited species diversity and unique genetic profiles observed. By laying the groundwork for future research, this study contributes to advancing forensic entomology in Pakistan by improving species identification, which, when combined with future thermobiological data, can enhance postmortem interval (PMI) estimation and forensic investigations.
Full article
(This article belongs to the Special Issue Forensic Entomology: From Basic Research to Practical Applications)
►▼
Show Figures

Figure 1
Open AccessArticle
Comparative Transcriptome Analysis of the Effects of a Non-Insect Artificial Diet on the Nutritional Development of Harmonia axyridis
by
Tingting Zhang, Yinchen Yu, Jianyu Li, Li Zheng, Shiwei Chen and Jianjun Mao
Insects 2025, 16(4), 380; https://doi.org/10.3390/insects16040380 - 3 Apr 2025
Abstract
Artificial diets applied in the mass-rearing propagation of H. axyridis can improve reproductive ability by optimizing the feeding formula. This study used transcriptome data to investigate the effects of various artificial diets on the growth and development of H. axyridis. Results indicate
[...] Read more.
Artificial diets applied in the mass-rearing propagation of H. axyridis can improve reproductive ability by optimizing the feeding formula. This study used transcriptome data to investigate the effects of various artificial diets on the growth and development of H. axyridis. Results indicate that spawning increased with the low-fat and JH III-supplemented artificial diet (Diet 3). Furthermore, the highest glycogen content found in Diet 3 was significantly different from the other two groups. Triglyceride content decreased as adult feeding time increased in the three artificial diet groups, with the fastest decrease observed in the low-fat diet (Diet 2). Protein content increased gradually in the high-fat diet (Diet 1) group compared to the other treatment groups. The adults reared on low-fat artificial diets, when compared to those on artificial diets supplemented with juvenile hormones at the transcriptome level, were found to have upregulated genes enriched in ubiquitin-mediated proteolysis, ribosome biogenesis, and the hedgehog signaling pathway. In contrast, the genes upregulated in the latter group were enriched in oxidative phosphorylation, amino acid biosynthesis, and the metabolism of other amino acids. The results suggest that nutritional status significantly affects the growth and development of H. axyridis and has practical implications for the artificial feeding of natural pest enemies.
Full article
(This article belongs to the Section Insect Physiology, Reproduction and Development)
►▼
Show Figures

Figure 1
Open AccessArticle
Impact of Irradiated Drosophila melanogaster Pupae on the Quality and Population Parameters of Trichopria drosophilae
by
Yong-Zhuo Chen, Xiao-Meng Gong, Min Zhang, Peng-Cheng Liu, Xu-Xiang Zhang and Hao-Yuan Hu
Insects 2025, 16(4), 379; https://doi.org/10.3390/insects16040379 - 2 Apr 2025
Abstract
Trichopria drosophilae is a globally distributed pupal parasitoid that targets various species within the Drosophilidae family, including the invasive Drosophila suzukii. The mass rearing of T. drosophilae is a crucial step in ensuring their successful application for field D. suzukii control. The
[...] Read more.
Trichopria drosophilae is a globally distributed pupal parasitoid that targets various species within the Drosophilidae family, including the invasive Drosophila suzukii. The mass rearing of T. drosophilae is a crucial step in ensuring their successful application for field D. suzukii control. The pupae of Drosophila melanogaster are currently used as a host for the mass rearing of T. drosophilae. After irradiation, the immune system function of Drosophila pupae was weakened, leading to an increase in the parasitism efficiency of the T. drosophilae. Our results showed that irradiated pupae had a significant impact on the parasitism rate, offspring eclosion rate, offspring number, and female body size of F1 T. drosophilae, all of which were significantly lower than those in the normal group. However, there was no significant difference in the parasitism rate, body size, offspring eclosion rate, offspring number, or offspring sex ratio between F2 T. drosophilae emerging from treated or untreated Drosophila pupae. Compared with F2, F1 had a significantly higher net reproductive rate (R₀), mean generation time (T), and doubling time (DT), while the intrinsic rate of increase (r) was significantly lower. Using irradiated D. melanogaster pupae provides an efficient method for the mass rearing of T. drosophilae and offers valuable insights into its potential effectiveness in field D. suzukii control.
Full article
(This article belongs to the Special Issue Advances in Insect Pest Management: Innovative Approaches to Enhance Plant Protection)
►▼
Show Figures

Figure 1
Open AccessArticle
Temperature Variation Regulates the Trade-Off Between Pre- and Post-Hatching Investment in a Burying Beetle
by
Donghui Ma, Long Ma and Jan Komdeur
Insects 2025, 16(4), 378; https://doi.org/10.3390/insects16040378 - 2 Apr 2025
Abstract
Understanding how organisms respond to temperature variation is essential for assessing and predicting their resilience and vulnerability to environmental and climate changes. Here, using a biparental care burying beetle (Nicrophorus vespilloides), we tested whether and how parental investment in carcass preparation
[...] Read more.
Understanding how organisms respond to temperature variation is essential for assessing and predicting their resilience and vulnerability to environmental and climate changes. Here, using a biparental care burying beetle (Nicrophorus vespilloides), we tested whether and how parental investment in carcass preparation and ambient temperature interact to influence subsequent parental care behaviour and reproductive success. We employed a 3 × 2 factorial experiment, manipulating the levels of parental investment in carcass preparation (Reduced, Control, and Elevated) and ambient temperatures (benign: 20 °C and harsh: 23 °C) in breeding pairs. We found the following: (1) Irrespective of ambient temperature, males in the Reduced group decreased their pre-hatching care. (2) Across all investment groups, both sexes under higher temperature reduced post-hatching care. (3) Carcass-preparation investment and ambient temperature interactively influenced reproductive success. Overall, the harsh temperature decreased reproductive success. Furthermore, beetle pairs experiencing reduced carcass-preparation investment produced fewer eggs and lighter broods, while those experiencing elevated carcass-preparation investment produced smaller and lighter broods. Our findings provide new insights into how temperature variation affects parental investment strategies and enhance our understanding of the phenotypic plasticity in reproductive strategies that animals employ to cope with climate change.
Full article
(This article belongs to the Special Issue Arthropod Reproductive Biology)
►▼
Show Figures

Figure 1
Open AccessArticle
Primary Investigation on the Synergistic Effects of Methyl Bromide and 1 °C Cold Treatment for Two-Spotted Spider Mite (Tetranychus urticae) and the Citrus Mealybug (Planococcus citri)
by
Jin-Sung Yoo, Jae-Ho Ban, Ji-Eun Choi, Bong-Su Kim and Jun-Ran Kim
Insects 2025, 16(4), 377; https://doi.org/10.3390/insects16040377 - 2 Apr 2025
Abstract
Since the use of methyl bromide has been prohibited globally because of environmental concerns, several alternative fumigants have been newly developed and applied to fresh products. However, single treatment with a methyl bromide alternative fumigant cannot completely replace methyl bromide treatment for some
[...] Read more.
Since the use of methyl bromide has been prohibited globally because of environmental concerns, several alternative fumigants have been newly developed and applied to fresh products. However, single treatment with a methyl bromide alternative fumigant cannot completely replace methyl bromide treatment for some products because of issues associated with long treatment times and phytotoxicity. In this study, we compared the mortality of two agricultural pests, Tetranuchus urticae and Planococcus citri, after single treatment with methyl bromide and combined application of methyl bromide and cold treatment to confirm the synergistic effects of chemical and physical treatments. The combined application of methyl bromide and cold treatment was effective against the nymph and adult stages of T. urticae, but no synergism was observed at the egg stage. For P. citri, the required dosage of methyl bromide decreased when methyl bromide treatment was followed by low temperature, possibly because of the susceptibility of P. citri to cold treatment. These results indicate that the synergism of fumigants with cold treatment can differ by pest species and growth stage, and further studies on other pests are needed to reduce methyl bromide usage.
Full article
(This article belongs to the Section Insect Pest and Vector Management)
Open AccessArticle
Species Composition and Ecological Aspects of Immature Mosquitoes (Diptera: Culicidae) in Phytotelmata in Cantareira State Park, São Paulo, Brazil
by
Walter Ceretti-Junior, Antonio Ralph Medeiros-Sousa, Marcia Bicudo de Paula, Eduardo Evangelista, Karolina Morales Barrio-Nuevo, Ramon Wilk-da-Silva, Rafael Oliveira-Christe and Mauro Toledo Marrelli
Insects 2025, 16(4), 376; https://doi.org/10.3390/insects16040376 - 2 Apr 2025
Abstract
Phytotelmata are aquatic microenvironments formed by the accumulation of water and organic matter in cavities of plants. These microenvironments serve as breeding sites for various species of mosquitoes, including some of epidemiological importance. Our objective was to identify the mosquito fauna in these
[...] Read more.
Phytotelmata are aquatic microenvironments formed by the accumulation of water and organic matter in cavities of plants. These microenvironments serve as breeding sites for various species of mosquitoes, including some of epidemiological importance. Our objective was to identify the mosquito fauna in these microenvironments and to analyze variations in mosquito fauna diversity between bromeliads, tree holes, and bamboo internodes in Cantareira State Park, São Paulo (CSP), Brazil, where there have been reports of yellow-fever epizootics in non-human primates and circulation of plasmodia. Collections were carried out monthly from February 2015 to April 2017. The bromeliads showed greater mosquito species richness and diversity than the tree holes and bamboo internodes, as well as a very different composition. Of the 11 genera collected and 49 taxa identified, Culex (Carrolia) iridescens, Cx. ocellatus, Cx. (Microculex) imitator, and Anopheles (Kerteszia) cruzii were the most abundant. The phytotelmata in the CSP showed significant differences in species richness, diversity, and composition and were found to support a diverse mosquito fauna to develop, including An. cruzii and the sylvatic yellow fever virus vector Haemagogus leucocelaenus. The finding of these epidemiologically important species highlights the key role played by phytotelma breeding sites as places of refuge and species maintenance for these vectors in green areas close to urban centers.
Full article
(This article belongs to the Special Issue Approaches to Diseases Control Centered on Arthropod Vectors of Animal and Human Pathogens)
►▼
Show Figures

Figure 1
Open AccessArticle
The Effects of Artificial Diets Containing Free Amino Acids Versus Intact Proteins on Biomarkers of Nutrition and Deformed Wing Virus Levels in the Honey Bee
by
José Carlos Tapia-Rivera, José María Tapia-González, Mohamed Alburaki, Philene Chan, Rogelio Sánchez-Cordova, José Octavio Macías-Macías and Miguel Corona
Insects 2025, 16(4), 375; https://doi.org/10.3390/insects16040375 - 2 Apr 2025
Abstract
Pollen is bees’ primary source of proteins. Using pollen substitutes could reduce colony losses in areas with limited floral resources. In this study, we compared the effects of pollen substitutes made from intact proteins versus free amino acids on bee survival, as well
[...] Read more.
Pollen is bees’ primary source of proteins. Using pollen substitutes could reduce colony losses in areas with limited floral resources. In this study, we compared the effects of pollen substitutes made from intact proteins versus free amino acids on bee survival, as well as the levels of vitellogenin (vg), major royal jelly protein 1 (mrjp1), and deformed wing virus (DWV). Our study revealed no significant differences in vg mRNA levels between bees fed intact protein and free amino acid diets. However, mrjp1 mRNA levels were higher in bees fed free amino acid diets, suggesting that the availability of amino acids affects the expression of this nutritionally regulated gene differently. Thus, the combined expression of vg and mrjp1 could be used to assess the nutritional value of different pollen substitutes. Our results also indicate that bees fed diets rich in free amino acids exhibited high levels of DWV and increased mortality during the first week, even though they showed a high expression of genes related to good nutrition. In contrast, bees fed an intact protein diet showed the lowest DWV levels during the first two weeks, although viral infection increased afterward. These results suggest that ingested free amino acids are quickly absorbed in the intestine, transported in the hemolymph, and taken up by cells, where they can facilitate viral replication. On the other hand, ingested intact proteins may undergo slower digestion and gradual release of amino acids in the hemolymph, which may not trigger an overt DWV infection. Possible interactions among Varroa mites, DWV infection, and nutrition are also discussed.
Full article
(This article belongs to the Section Social Insects and Apiculture)
►▼
Show Figures

Figure 1
Open AccessArticle
Molecular Assessment of Genes Linked to Honeybee Health Fed with Different Diets in Nuclear Colonies
by
Worrel A. Diedrick, Lambert H. B. Kanga, Rachel Mallinger, Manuel Pescador, Islam Elsharkawy and Yanping Zhang
Insects 2025, 16(4), 374; https://doi.org/10.3390/insects16040374 - 2 Apr 2025
Abstract
Honeybees are of economic importance not only for honey production, but also for crop pollination, which amounts to USD 20 billion per year in the United States. However, the number of honeybee colonies has declined more than 40% during the last few decades.
[...] Read more.
Honeybees are of economic importance not only for honey production, but also for crop pollination, which amounts to USD 20 billion per year in the United States. However, the number of honeybee colonies has declined more than 40% during the last few decades. Although this decline is attributed to a combination of factors (parasites, diseases, pesticides, and nutrition), unlike other factors, the effect of nutrition on honeybee health is not well documented. In this study, we assessed the differential expression of seven genes linked to honeybee health under three different diets. These included immune function genes [Cactus, immune deficiency (IMD), Spaetzle)], genes involved in nutrition, cellular defense, longevity, and behavior (Vitellogenin, Malvolio), a gene involved in energy metabolism (Maltase), and a gene associated with locomotory behavior (Single-minded). The diets included (a) commercial pollen patties and sugar syrup, (b) monofloral (anise hyssop), and (c) polyfloral (marigold, anise hyssop, sweet alyssum, and basil). Over the 2.7-month experimental periods, adult bees in controls fed pollen patties and sugar syrup showed upregulated Cactus (involved in Toll pathway) and IMD (signaling pathway controls antibacterial defense) expression, while their counterparts fed monofloral and polyfloral diets downregulated the expression of these genes. Unlike Cactus and IMD, the gene expression profile of Spaetzle (involved in Toll pathway) did not differ across treatments during the experimental period except that it was significantly downregulated on day 63 and day 84 in bees fed polyfloral diets. The Vitellogenin gene indicated that monofloral and polyfloral diets significantly upregulated this gene and enhanced lifespan, foraging behavior, and immunity in adult bees fed with monofloral diets. The expression of Malvolio (involved in sucrose responsiveness and foraging behavior) was upregulated when food reserves (pollen and nectar) were limited in adult bees fed polyfloral diets. Adult bees fed with monofloral diets significantly upregulated the expression of Maltase (involved in energy metabolisms) compared to their counterparts in control diets to the end of the experimental period. Single-Minded Homolog 2 (involved in locomotory behavior) was also upregulated in adult bees fed pollen patties and sugar syrup compared to their counterparts fed monofloral and polyfloral diets. Thus, the food source significantly affected honeybee health and triggered an up- and downregulation of these genes, which correlated with the health and activities of the honeybee colonies. Overall, we found that the companion crops (monofloral and polyfloral) provided higher nutritional benefits to enhance honeybee health than the pollen patty and sugar syrup used currently by beekeepers. Furthermore, while it has been reported that bees require pollen from diverse sources to maintain a healthy physiology and hive, our data on nuclear colonies indicated that a single-species diet (such as anise hyssop) is nutritionally adequate and better or comparable to polyfloral diets. To the best of our knowledge, this is the first report indicating better nutritional benefits from monofloral diets (anise hyssop) over polyfloral diets for honeybee colonies (nucs) in semi-large-scale experimental runs. Thus, we recommend that the landscape of any apiary include highly nutritious food sources, such as anise hyssop, throughout the season to enhance honeybee health.
Full article
(This article belongs to the Special Issue Insect Mitogenome, Phylogeny, and Mitochondrial Genome Expression)
►▼
Show Figures

Figure 1
Open AccessReview
Harnessing Electrostatic Forces: A Review of Bees as Bioindicators for Particulate Matter Detection
by
Simone Meacci, Lorenzo Corsi, Eleonora Santecchia and Sara Ruschioni
Insects 2025, 16(4), 373; https://doi.org/10.3390/insects16040373 - 1 Apr 2025
Abstract
Bees (Hymenoptera, Anthophila) are widely recognized for their essential ecological roles, including pollination and biodiversity maintenance. Recently, their ability to collect environmental particulate matter through electrostatic forces has been explored for biomonitoring purposes. This review integrates knowledge on electrostatic pollen adhesion with emerging
[...] Read more.
Bees (Hymenoptera, Anthophila) are widely recognized for their essential ecological roles, including pollination and biodiversity maintenance. Recently, their ability to collect environmental particulate matter through electrostatic forces has been explored for biomonitoring purposes. This review integrates knowledge on electrostatic pollen adhesion with emerging insights into particulate matter adhesion to bees, emphasizing their potential as bioindicators. The mechanisms of electrostatic adhesion, influenced by factors such as the physicochemical properties of particulate matter and bee morphology, are discussed in detail. Additionally, the study evaluates the adhesion efficiency of pollutants, including heavy metals, microplastics, nanoplastics, pathogens, pesticides, radionuclides, and volatile organic compounds. This multidisciplinary approach underscores the role of bees in advancing environmental monitoring methodologies and offers innovative tools for assessing ecosystem health while addressing the drivers of bee decline.
Full article
(This article belongs to the Special Issue Advances on Conservation of Biodiversity, Monitoring Programs and Trend Assessment)
►▼
Show Figures

Figure 1
Open AccessArticle
Chronic Exposure to Field-Level Thiamethoxam Impairs Gut Tissue and Reduces Honeybee (Apis cerana) Survival
by
Yulong Guo, Changsheng Ma, Wenzheng Zhao, Haiou Kuang, Yakai Tian, Haoyuan Zhang, Yunfei Xue, Hongmei Li-Byarlay, Kun Dong and Xueyang Gong
Insects 2025, 16(4), 372; https://doi.org/10.3390/insects16040372 - 1 Apr 2025
Abstract
Pesticides such as neonicotinoids frequently harm beneficial insect pollinators and affect their survival, social behavior, digestive system, and metabolism. Investigating the mechanisms behind these impairments is crucial for enhancing pesticide risk assessments. Apis cerana, a native honeybee species in Asia, has received
[...] Read more.
Pesticides such as neonicotinoids frequently harm beneficial insect pollinators and affect their survival, social behavior, digestive system, and metabolism. Investigating the mechanisms behind these impairments is crucial for enhancing pesticide risk assessments. Apis cerana, a native honeybee species in Asia, has received limited research attention regarding the toxicological mechanisms of thiamethoxam (TMX) exposure. We exposed newly emerged worker bees of A. cerana to a field-relevant dose of TMX (400 ng/g) under laboratory conditions to examine whether TMX exposure triggers similar or distinct effects in different biological processes and tissues. Our results demonstrate that TMX damages the gut cell structure and significantly increases mortality. Gut transcriptomic analysis revealed that the activation of signaling pathways such as glycosphingolipid biosynthesis, Notch signaling, and Wnt signaling likely contributed to structural damage in gut cells. Head transcriptomic results indicated that the activation of pathways including pyruvate metabolism, glycolysis/gluconeogenesis, thiamine metabolism, and riboflavin metabolism might negatively affect the stability of the neural system in A. cerana. The metabolic dysfunction of glycine, serine, threonine, as well as glycerophospholipids potentially impairs the neural system, leading to behavioral abnormalities and mortality. In summary, field-level TMX damages the gut cell structure, destabilizes the neural system, and increases the mortality rate of A. cerana. These findings demonstrate that TMX exposure induces complex, tissue-specific effects. This study provides a comprehensive understanding of the molecular and physiological impacts of TMX on A. cerana, offering valuable insights for the conservation and protection of this important pollinator species.
Full article
(This article belongs to the Section Social Insects and Apiculture)
►▼
Show Figures

Figure 1
Journal Menu
► ▼ Journal Menu-
- Insects Home
- Aims & Scope
- Editorial Board
- Reviewer Board
- Topical Advisory Panel
- Instructions for Authors
- Special Issues
- Topics
- Sections & Collections
- Article Processing Charge
- Indexing & Archiving
- Editor’s Choice Articles
- Most Cited & Viewed
- Journal Statistics
- Journal History
- Journal Awards
- Conferences
- Editorial Office
Journal Browser
► ▼ Journal BrowserHighly Accessed Articles
Latest Books
E-Mail Alert
News
Topics
Topic in
Diversity, Ecologies, Insects, Plants, Taxonomy
Biodiversity in the Azores: A Whole Biota Assessment
Topic Editors: Rosalina Gabriel, João Pedro Barreiros, Paulo A. V. BorgesDeadline: 15 April 2025
Topic in
Infectious Disease Reports, Insects, IJERPH, Pathogens, TropicalMed, Zoonotic Diseases
Vector-Borne Disease Spatial Epidemiology, Disease Ecology, and Zoonoses
Topic Editors: Chad L. Cross, Louisa Alexandra MessengerDeadline: 31 December 2025
Topic in
Animals, Arthropoda, Diversity, Insects, Life, Pathogens
Arthropod Biodiversity: Ecological and Functional Aspects, 2nd Edition
Topic Editors: Paolo Solari, Roberto M. Crnjar, Anita Giglio, Gianluca TettamantiDeadline: 31 January 2026
Topic in
Applied Microbiology, Forests, Insects, JoF, Microorganisms
Diversity of Insect-Associated Microorganisms
Topic Editors: Dilnora E. Gouliamova, Teun BoekhoutDeadline: 28 February 2026
Conferences
Special Issues
Special Issue in
Insects
Biology, Ecology, and Management of the Coffee Berry Borer (Hypothenemus hampei)—2nd Edition
Guest Editors: Juan F. Barrera, Julio C. RojasDeadline: 15 April 2025
Special Issue in
Insects
Plant–Insect Vector–Pathogen Interactions
Guest Editors: Alberto Fereres, Clara LagoDeadline: 25 April 2025
Special Issue in
Insects
Effects of Environment and Food Stress on Insect Population
Guest Editors: Shihao Zhou, Junyu Chen, Erjun Ling, Zhenxing LiuDeadline: 30 April 2025
Special Issue in
Insects
Ecologically Important Symbioses in Insects
Guest Editor: Kerry M. OliverDeadline: 30 April 2025
Topical Collections
Topical Collection in
Insects
Insects in Mountain Ecosystems
Collection Editors: Roberto Pizzolotto, Mauro Gobbi
Topical Collection in
Insects
Psyllid Vectors: From Genetics to Pest Integrated Management
Collection Editor: Nabil Killiny
Topical Collection in
Insects
Integrated Pest Management of Crop
Collection Editors: Jinjie Cui, Xueke Gao
Topical Collection in
Insects
Humans and Arthropod Bites and Stings: Venom and Envenomation
Collection Editors: Stephen A. Klotz, Justin O. Schmidt


